Divorce can be a challenging time, but having a separation agreement in place can help make the process smoother. In Ohio, having a printable separation agreement can be a convenient option for couples looking to legally separate.
By creating a separation agreement, you and your spouse can outline important details such as child custody, visitation schedules, division of assets, and spousal support. Having a written agreement can provide clarity and peace of mind during an emotionally charged time.
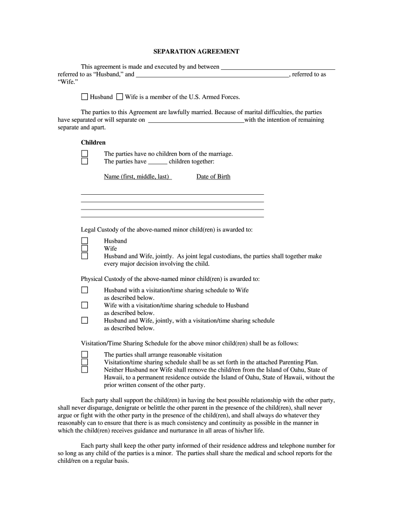
Separation Agreement Ohio Printable
Separation Agreement Ohio Printable
When creating a separation agreement in Ohio, it’s essential to ensure that the document meets all legal requirements. Using a printable template can be a practical solution, as it allows you to customize the agreement to fit your specific needs and circumstances.
Make sure to include all necessary information, such as full names of both parties, details of any children involved, financial information, and any other relevant details. Having a comprehensive agreement can help prevent future disputes and ensure a smoother separation process.
Once you have completed the separation agreement, it’s crucial to have both parties sign the document in the presence of a notary public. This step is essential to ensure that the agreement is legally binding and enforceable in the event of any disagreements down the line.
Having a printable separation agreement in Ohio can provide a straightforward and cost-effective way to formalize the terms of your separation. By taking the time to create a comprehensive agreement, you can protect your rights and ensure a smoother transition during this challenging time.
Whether you’re considering a separation or in the process of divorce, having a separation agreement in place can provide clarity and peace of mind. Take the necessary steps to create a legally binding document that meets your needs and protects your interests.
43 Best Separation Agreement Templates Separation Papers
Separation Agreement Form Fill Online Printable Fillable Blank PdfFiller
Free Marital Separation Agreement PDF Word EForms
Free Ohio Marital Separation Agreement Legal Separation Forms OH Forms Legal
Free Ohio Separation Agreement Template PDF Word EForms





