Looking for a free printable lease agreement in Georgia? You’ve come to the right place! Whether you’re a landlord or tenant, having a written lease agreement is crucial to protect your rights and responsibilities.
Creating a lease agreement from scratch can be daunting, especially if you’re not familiar with legal jargon. That’s where free printable lease agreements come in handy. They provide a template that you can easily customize to suit your specific needs.
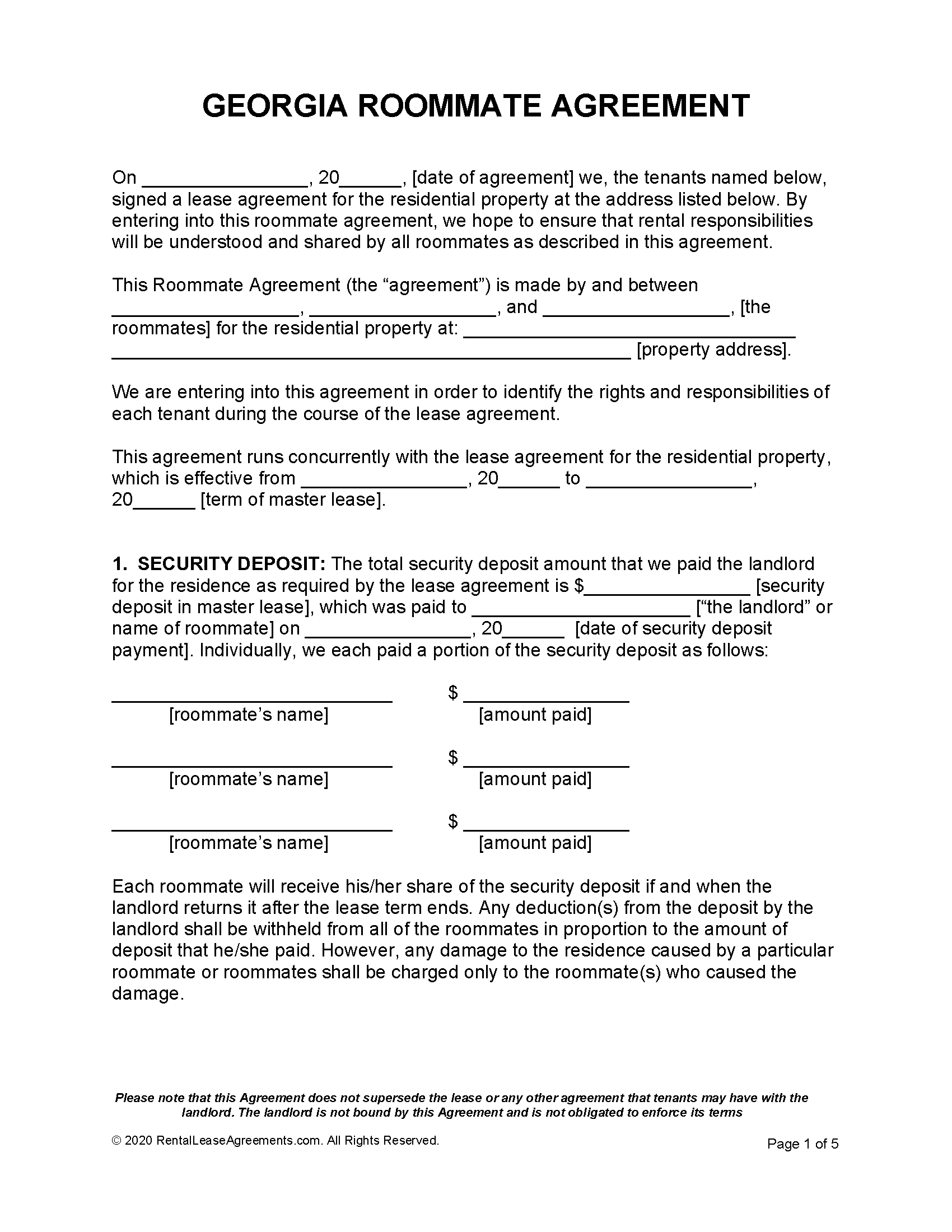
Free Printable Lease Agreement Ga
Free Printable Lease Agreement Ga
When using a free printable lease agreement in Georgia, make sure to include important details such as the names of the landlord and tenant, the property address, rent amount, lease term, and any rules or regulations that both parties must adhere to.
It’s also essential to clearly outline the responsibilities of both the landlord and tenant, including who is responsible for maintenance and repairs, utilities, and other expenses. Having everything in writing can help prevent misunderstandings or disputes down the line.
Before signing a lease agreement, it’s a good idea to have it reviewed by a legal professional to ensure that it complies with Georgia state laws and covers all necessary provisions. This extra step can provide peace of mind and protect your interests in the long run.
In conclusion, using a free printable lease agreement in Georgia is a convenient and cost-effective way to create a legally binding document for your rental property. By including all essential details and seeking legal advice if needed, you can establish clear expectations and maintain a positive landlord-tenant relationship.
Free Georgia Rental Lease Agreements 6 Types PDF MS Word
Free Georgia Rental Lease Agreement Templates PDF Word
Free Georgia Rental Lease Agreement Templates 6 PDF
Free Georgia Rental Lease Agreement Templates PDF Word
Free Georgia Lease Agreement Templates 7 PDF Word EForms





