If you’re looking for a free and printable Illinois lease agreement, you’ve come to the right place! Whether you’re a landlord or tenant, having a written lease is essential to protect both parties’ rights and obligations.
By using a template, you can easily create a legally binding document that outlines the terms of the rental agreement, such as rent amount, security deposit, lease duration, and rules for the property. It’s a simple and cost-effective way to ensure a smooth rental process.
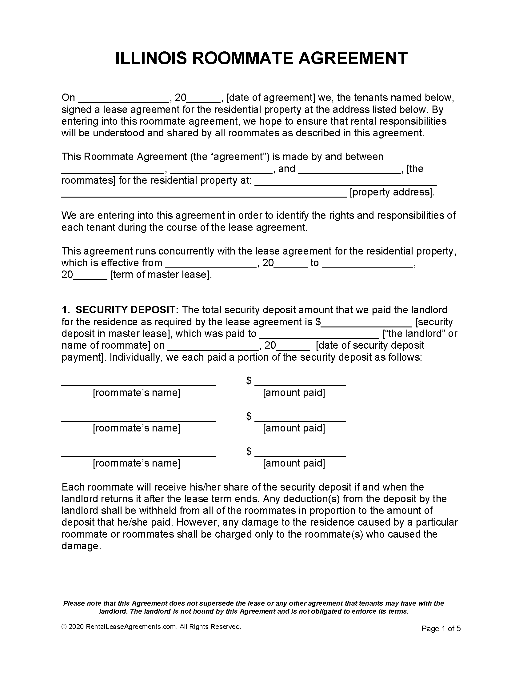
Free And Printable Illinois Lease Agreement
Free And Printable Illinois Lease Agreement
One of the benefits of using a printable lease agreement template is that it can be customized to suit your specific needs. You can add or remove clauses, fill in the blanks with relevant information, and even include any additional terms that you and the other party agree upon.
Having a written lease agreement also helps clarify expectations and prevent misunderstandings between landlords and tenants. It serves as a reference point in case any disputes arise during the tenancy, protecting both parties from potential legal issues.
Before signing any lease agreement, it’s crucial to thoroughly read and understand all the terms and conditions outlined in the document. If you have any questions or concerns, don’t hesitate to seek legal advice or consult with a real estate professional to ensure you’re making an informed decision.
In conclusion, having a free and printable Illinois lease agreement is a practical and convenient way to establish a clear and transparent rental agreement. Whether you’re renting out a property or looking for a place to live, having a written lease can help protect your rights and make the rental process smoother for everyone involved.
Free Illinois Commercial Lease Agreement Template PDF Word
Free Illinois Rental Lease Agreement Templates PDF Word
Free Illinois Rental Lease Agreement Templates 6 PDF
Free Illinois Rental Lease Agreement Templates PDF Word
Free Illinois Lease Agreement Templates 7 PDF Word EForms





